This website requires JavaScript.
Explore
Help
Sign In
madelaine
/
publicMasters
Watch
1
Star
0
Fork
0
You've already forked publicMasters
Code
Issues
Pull Requests
Projects
Releases
Wiki
Activity
Files
635b6f302865db2c9c0ad41b21e57839f98c7000
publicMasters
/
1-ComputationAndData
/
images
/
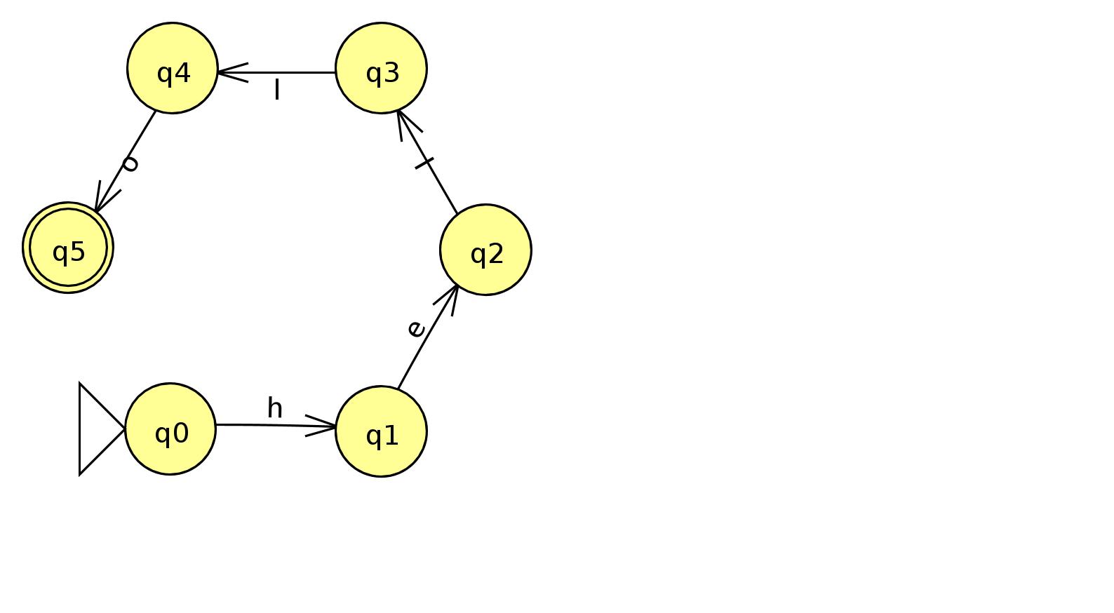
HelloWorldAutomate.jpg
Florent Madelaine
0a84502bbd
reorganisation par cours dans sous-répertoires
2024-02-15 00:00:17 +01:00
49 KiB
1588x874px
Raw
History